本月起实施!成都这些医保支付标准定了
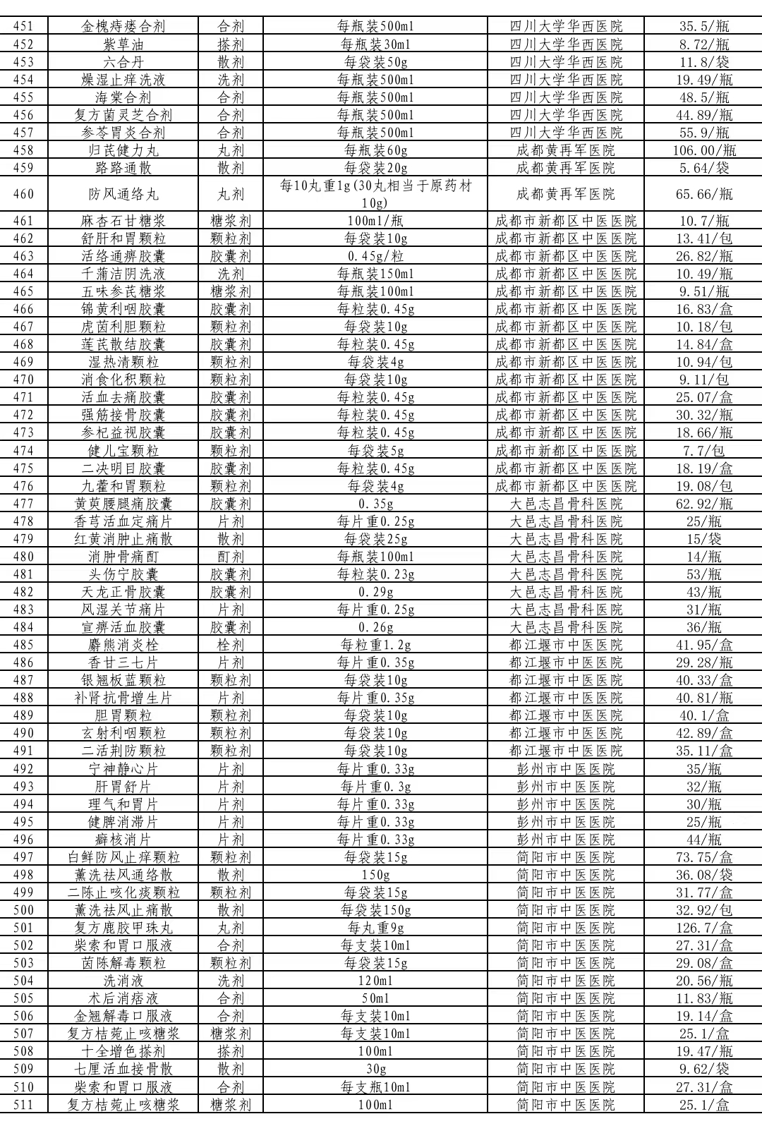
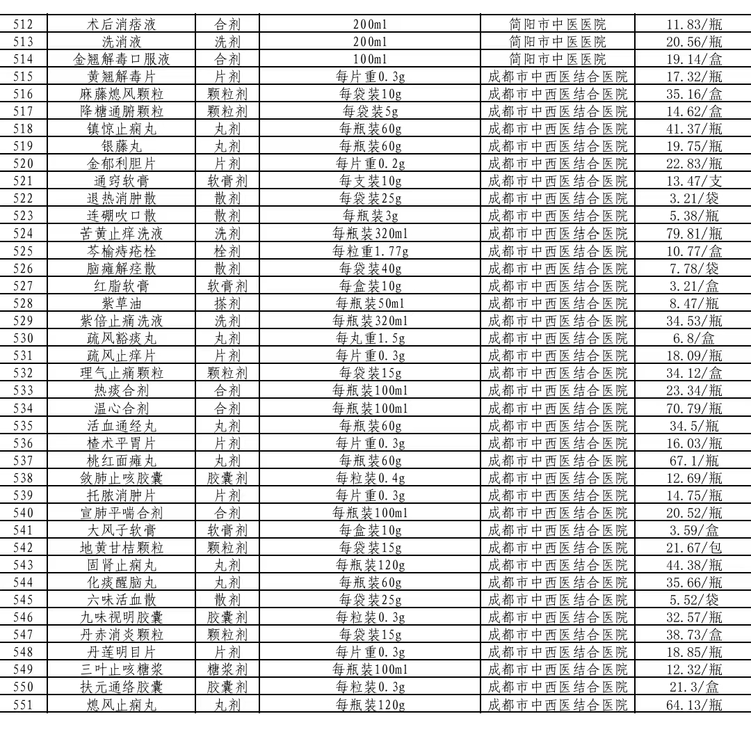
近日,成都市医保局公布了成都市基本医疗保险、工伤保险和生育保险医疗机构制剂支付标准(2022年),该标准共收载成都定点(协议)医疗机构制剂447种,其中西药制剂78种,中药制剂369种,从今年5月1日开始实施,有效期5年。
规范制剂支付管理
医疗机构制剂基本医疗保险、工伤保险和生育保险支付标准,是指基本医疗保险、工伤保险和生育保险基金(以下简称“基金”)支付定点(协议)医疗机构制剂费用的基准,包括基金和参保人员共同支付的全部费用。各定点(协议)医疗机构应严格执行支付标准。
《2022年制剂支付标准》内的医疗机构制剂按“乙类药品”管理,仅限于本院使用或在药品监督管理部门规定的调剂范围内使用时基金方予支付。我市医疗机构需要调剂使用其他医疗机构制剂的,由调入医疗机构向市医疗保障局提供相关调剂批准文件,经审核上报省医疗保障事务中心汇总,全省统一执行。
做好制剂目录落地工作
市医疗保险经办机构、工伤保险经办机构要及时调整信息系统,更新完善数据库,确保目录内医疗机构制剂正常结算。医疗机构制剂注册批准文号或应用传统工艺配制的中药制剂备案号、国家药品代码等信息发生变更的,由市医疗保障局审核后,报省医疗保障事务中心汇总。
各级医保和人社部门要结合《2022年制剂支付标准》管理规定以及相关部门制定的医疗机构制剂管理要求,加强基金监管,完善智能监控系统,将定点(协议)医疗机构执行使用《2022年制剂支付标准》情况纳入定点服务协议管理和考核范围。
成都市基本医疗保险、工伤保险和生育保险医疗机构制剂支付标准(2022年)
西药制剂
(点击图片查看大图)


中药制剂
(点击图片查看大图)








资料来源:成都市医保局官网


川公网安备 51019002008035号
